Sayt yalnız tibb işçiləri üçün nəzərdə tutulmuşdur
Sayt yalnız tibb işçiləri üçün nəzərdə tutulmuşdur
Bel ağrısının diferensiasiya olunmuş müalicəsinin effektivliyi
O.V. Kuruşina1, tibb elmləri doktoru, professor, Rusiya Federasiyası Səhiyyə Nazirliyinin Cənub federal dairəsi üzrə baş mütəxəssis-nevroloqu, nevrologiya, neyrocərrahiyyə, tibbi genetika …

O.V. Kuruşina1, tibb elmləri doktoru, professor, Rusiya Federasiyası Səhiyyə Nazirliyinin Cənub federal dairəsi üzrə baş mütəxəssis-nevroloqu, nevrologiya, neyrocərrahiyyə, tibbi genetika kafedrasının müdiri;

A.Y. Barulin1, tibb elmləri doktoru, FTƏT AT FDBTM İnstitutunun nevrologiya, psixiatriya, manual tibb və tibbi reabilitasiya kafedrasının müdiri;

A. B. Danilov2, tibb elmləri doktoru, PTİ-nin sinir xəstəlikləri kafedrasının professoru, Fənlərarası Tibb Assosiasiyasının Ekspertlər Şurasının sədri.

1 Rusiya Federasiyası Səhiyyə Nazirliyinin “Volqoqrad Dövlət Tibb Universiteti” APT FDTM, Volqoqrad şəhəri;

2 İ.M. Seçenov adına Birinci MDTU, Moskva şəhəri.


Son onilliklər ərzində bel ağrısı tibb ictimaiyyətində fəal müzakirələrin səbəblərindən biridir. Bu xəstəliyin həm diaqnostika meyarları, həm də müalicəsinə müxtəlif yanaşmalar müzakirə olunur. Buna baxmayaraq, bu ağrı sindromunun yayılması nəinki azalmır, həm də durmadan artmağa davam edir. Bel ağrısı istənilən yaşda və sosial-iqtisadi statusda olan insanlarda yayılmış simptomdur. Yaşayış yerindən və maliyyə müstəqilliyi səviyyəsindən asılı olmayaraq, bu algik pozuntu növü dünyanın bütün ölkələrində əhalinin həyat keyfiyyətini aşağı salmağa davam edir. Belə ki, 2017-ci ildə bütün dünyada bel ağrısının (kəskin, yarımkəskin və xroniki) yayılması 7,83% təşkil edirdi, həm də 577 milyon insan bu ağrını eyni zamanda hiss edirdi [1]. Lakin artıq aydın olur ki, hər hansı sindromun yayılması və şiddəti  onun pasiyentin həyatına və səhiyyənin işinə təsirini heç də hər zaman əks etdirmir. Buna görə də, hazırda hər hansı xəstəliyin payını öyrənmək üçün insan həyatının tam keyfiyyətli olmayan illərini ölçən DALY göstəricisindən istifadə edilir. Belin aşağı hissəsindəki ağrı üçün 2017-ci ildə bu göstərici demək olar ki, əlilliklə keçən 65 milyon ilə yüksəlmişdir. Son 10 il ərzində bu göstərici demək olar ki, 17,5% pisləşmişdir [2]. Bu tendensiyaları təhlil etməyə çalışarkən, tədqiqatçılar qeyd edirlər ki, mənfi nəticələrin ən böyük artımı, başlıca olaraq, əhalinin sayının və həyat müddətinin artması səbəbindən müşahidə olunur, bu da müvafiq olaraq, bəşəriyyətin ümumi qocalması ilə müşayiət olunur.

Göstəricinin ən böyük artımı aşağı və orta gəlir səviyyəsinə malik olan ölkələrdə qeydə alınmışdır. İnsanlar birlikdə götürülmüş şəkərli diabet, hipertoniya, şişlər, astma, ürək və tənəffüs yolları xəstəliklərinə nisbətən bel ağrısı səbəbindən daha çox işdən çıxırlar. ABŞ-da təxminən hər dördüncü yetkin insanda əvvəlki 3 ay ərzində ən azı 24 saat davam edən bel ağrısı olmuşdur, yetkin insanların 7,6%-i bir il ərzində ən azı bir ağır və kəskin bel ağrısı epizodu barədə məlumat vermişdir [4]. Məhz bu orta dərəcəli və güclü ağrı, eləcə də hərəki, hissi, trofik funksiyaların pozulması, habelə ağrı səbəbindən psixoemosional statusda dəyişikliklər tibbi yardım üçün müraciətin əsas səbəbləridir. Bel ağrısı ilə bağlı müraciətlərin sayının artmasını təkcə nevroloqlar deyil, həm də həkim-terapevtlər, revmatoloqlar, cərrahlar və ümumi təcrübə həkimləri də qeyd edirlər [5].

Geniş yayılmasına baxmayaraq, bel ağrısının proqnozu ümumiyyətlə, yaxşıdır. Bel ağrısının inkişafına eyni zamanda bir neçə səbəb gətirib çıxardığı üçün onun konkret səbəbini nadir hallarda müəyyənləşdirmək mümkün olsa da, bu növün ən çox yayılmış ümumiləşdirici adı “qeyri-spesifik bel ağrısı”dır. [6, 7]. Kəskin və yarımkəskin bel ağrısının əksər epizodları 6 həftə ərzində əhəmiyyətli dərəcədə yaxşılaşır, ağrının orta intensivliyi isə 12 aydan sonra mülayimləşir (100 xallıq şkala üzrə 6; 95% etibarlılıq intervalı (Eİ) 3-dən 10-dək). Lakin bel ağrısından əziyyət çəkən insanların üçdə ikisi 3 ay (67 %, 95 % Eİ

50%-dən 83%-dək) və 12 ay (65 %, 95 % Eİ 54%-dən 75%-dək) sonra hələ də bel ağrısı hiss edir [8, 9]. Bu, ağrının xroniki hala keçməsinin qarşısını almaq məqsədilə birinci ağrı epizodunun effektiv aradan qaldırılma metodlarının işlənib hazırlanması üçün ciddi zəmin yaradır.

Klinik tövsiyə və təlimatların əksəriyyətində kəskin bel ağrısı epizodu zamanı yardımın birinci sırası göstərilir: ağrının xoşxassəli olduğuna əmin etmək və yüngül fiziki aktivliyə həvəsləndirmək [10, 11, 12]. İkinci sıra müalicə lazım olduqda, qeyri-spesifik bel ağrısının kəskin epizodu zamanı bir sıra terapevtik müdaxilələr (farmakoloji və fizioterapevtik) mövcuddur [13, 14, 15]. Və məhz bu mərhələ daha çox sayda suallar doğurur və daha çox müzakirə olunur. Ağrıya nəzarət üçün ən effektiv vasitənin seçilməsi prosesi hələ də ağrı sindromunun aradan qaldırılması üçün ən aktual preparatı diferensiasiyalı şəkildə seçməyə imkan verən dəqiq prediktorlar olmadan intuitiv olaraq qalır.  Bundan əlavə, müxtəlif müalicə variantlarının təsirlərinin, hər bir variantın qalan digərləri ilə müqayisə olunduğu tədqiqatları aparılımamışdır. Kəskin bel ağrısının aradan qaldırılması üçün müxtəlif üsulların nəzərdən keçirildiyi ayrı-ayrı meta-analiz cəhdləri mövcuddur, lakin onların nəticələri birmənalı deyildir [16].

Hərəki və hissi pozuntularla keçən radikulopatiya ilə müşayiət olunan bel ağrısının müalicəsini müzakirə etdikdə isə, müzakirə sualları daha da çoxalır, bu sahədə ciddi müqayisəli klinik tədqiqatlar isə daha da azalır. Lakin mütəxəssislərin əksəriyyəti bu fikirlə razılaşır ki, bu kateqoriyadan olan xəstələrin aparılmasında əsas yanaşma konservativ müalicə olaraq qalmalıdır, pasiyentlərin təxminən 88%-i 4 həftə ərzində müalicədən qənaətbəxş nəticə əldə edir [17].

Radikulopatiyalarla müşayiət olunan bel ağrısından əziyyət çəkən pasiyentlərin müalicəsində istifadə edilən dərman vasitələrinin əsas qrupları qeyri-steroid iltihabəleyhinə preparatlar (QSİƏP) və miorelaksantlardır, bunların birlikdə istifadəsi gözlənilən nəticəni kifayət qədər qısa müddət ərzində əldə etməyə imkan verir [18]. Bu kateqoriyadan olan pasiyentlərin müalicəsinin digər bir variantı qlükokortikoidlərlə yerli inyeksion müalicənin, müalicəvi gimnastikanın, masaj və manual terapiyanın istifadəsidir [19].

Radikulopatiyalar zamanı antioksidant müalicə və vitaminoterapiya ilə yanaşı müalicənin əhəmiyyətli istiqaməti regenerasiya və reinnervasiya kimi proseslərin aktivləşdirilməsidir. Antixolinesteraz (AXE) preparatların istifadəsi yeni

sinapsların yaranması, sinir-əzələ ötürməsinin bərpası və sinir üzrə keçirilmənin yaxşılaşması üçün zəruri olan regenerator sprautinqi stimullaşdırır [20]. Asetilxolinesterazanı selektiv və geri dönən şəkildə inhibə edən AXE dərman vasitələri arasında başlıca olaraq periferik (neostiqmin, piridostiqmin), mərkəzi (qalantamin, donepezil) və kombinə olunmuş (ipidakrin) təsirə malik olan preparatlar təmsil olunmuşdur [21].

İpidakrin özünün orijinal mexanizmi sayəsində bel ağrısı zamanı həm periferik, həm də mərkəzi təsir göstərir. İpidakrin kalium kanallarını blokada edir, eləcə də asetilxolinesterazanın aktivliyini azaldır ki, bu da kalsium ionlarının aksonun presinaptik hissəsinə daxil olmasının artmasına səbəb olur və sinapsda oyanmanın ötürülməsini asanlaşdırır. Presinaptik membranın repolyarizasiya müddətinin uzanması hesabına ipidakrin ektopik ocaqları və oyanmanın efaptik ötürülməsini blokada etmək qabiliyyətinə malikdir, efaptik ötürülmə neyropatik ağrının paresteziyalar, krampi və digər xoşagəlməz hissiyyatlar kimi komponentlərinin inkişafının əsas səbəblərindən biridir [22].

Tədqiqatçılar artıq AXE preparatlarının və ipidakrinin, xüsusilə də, bel ağrısı zamanı təsir mexanizmini və istifadəsinin effektivliyini təhlil etməyə cəhdlər göstəriblər [23, 24, 25]. Bu tədqiqatlarda  ağrı sindromlarının, xüsusilə bel nahiyəsindəki ağrının müalicəsində adyuvant ağrıkəsici qismində ipidakrinin şərtsiz təsiri qeyd edilmişdir. Lakin eyni zamanda, radikulopatiyalarla müşayiət olunan bel ağrısının diferensiasiyalı müalicəsi sxeminə ipidakrinin daxil edilməsi üçün pasiyentlərin seçilməsi məsələsi həll olunmamış qalır.

Biz, radikulopatiya diaqnozu qoyulmuş, kökcük tipli ağrı sindromundan şikayət edən pasiyentlərdə ipidakrinlə müalicənin effektivliyinin prediktorlarını təhlil etməyə cəhd etmişik. Ümumilikdə, tədqiqata 102 pasiyent cəlb olunmuşdur: nəzarət qrupunda 40 pasiyent və eksperimental qrupda 62 pasiyent. Nəzarət qrupundakı pasiyentlərə QSİƏP, mərkəzi təsirli miorelaksantlar, B qrupu vitaminlərindən ibarət olan standart müalicə aparılmışdır. Eksperimental qrupda standart müalicəyə ipidakrin (Neyromidin®) ilə müalicə əlavə edilmişdir — 10 gün ərzində gündə 1 dəfə 15 mq/ml əzələ daxilinə, daha sonra ümumi müalicə müddətinin 8-ci həftəsinin sonunadək gündə 20 mq 3 tablet. Müalicə rejimi və dozalar mövcud tibbi istifadə təlimatına əsasən seçilmişdir. Eksperimental qrupda müalicənin effektivliyi və təhlükəsizliyi həm klinik müayinələr və sorğu vərəqələrinin, həm də elektroneyromioqrafiyada (ENMQ) neyrofizioloji nəzarətin köməyilə müəyyən edilmişdir.

“Manage Pain, №1, 2024” Materiala bütün hüquqlar “Loqos Press” nəşriyyatına məxsusdur.                    

O.V. Kuruşina, A. Y. A.B. Barulin, A.B. Danilov

Şək. 1 Eksperimental qrupda və nəzarət qrupunda VAŞ-nin orta nisbi dəyişməsinin qrafiki.

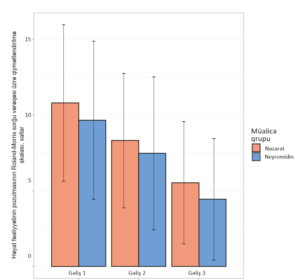
Şək. 2 Roland-Morris sorğu vərəqəsi üzrə həyat fəaliyyətinin pozulmasının orta qiymətləri üzrə eksperimental və nəzarət qruplarının müqayisəsi

Aparılmış tədqiqat nəticəsində ipidakrinlə standart müalicənin kombinasiyasının bel ağrısının ənənəvi standart müalicəsi üzərində statistik cəhətdən əhəmiyyətli üstünlüyü aşkar edilmişdir. Eksperimental qrupa daxil olan pasiyentlər üçüncü gəlişdə ağrı sindromunun intensivliyinin azalmasında əhəmiyyətli üstünlük nümayiş etdirmişdir (şək. 1)

Ağrı sindromunun şiddətinin azalması pasiyentlərin fəaliyyətinin və həyat keyfiyyətinin yaxşılaşması ilə müşayiət olunmuşdur ki, bu da Roland-Morris sorğu vərəqəsinin suallarına cavabların nəticələrində öz əksini tapmışdır. Pasiyentlərin hər iki qrupunda göstəricinin əhəmiyyətli dərəcədə yaxşılaşmasına baxmayaraq, eksperimental qrupda müsbət dinamika nəzarət qrupuna nisbətən daha yaxşı olmuşdur (şək. 2).

Sonradan, eksperimental və nəzarət qruplarının nəticələrinin ikincili son nöqtələr üzrə müqayisəsi bel ağrısının müalicəsi üçün standart müalicəyə ipidakrinin əlavə olunmasının effektivliyi barədə tədqiqatçıların fərziyyəsini təsdiq etdi. Lakin pasiyentlərin fərdi nəticələri müalicəyə əlavəyə reaksiyanın və cavabın gücünün bərabər dərəcədə olmadığını aşkara çıxardı. Məhz buna görə, standart müalicənin ipidakrin ilə kombinasiyasının effektivlik prediktorlarının aşkarlanması zərurəti aktuallaşdı.

Bu məsələnin həll edilməsi üçün, tədqiqat nəticələrinin qiymətləndirilməsi zamanı məqsədlərdən biri responderlərin, yəni üçüncü gəlişdə vizual-analoq şkalası (VAŞ) üzrə ağrının 70% və daha çox azalmasına nail olmuş pasiyentlər qrupunun ayırd edilməsi və onları bu nəticənin əldə edilmədiyi qeyri-responderlər qrupundan fərqləndirən parametrlərin müəyyənləşdirilməsi olmuşdur. Ayırd edilmiş bu amillərə əsasən radikulopatiyalardan və bel ağrısından əziyyət çəkən pasiyentlərin diferensiasiyalı müalicəsinin effektivlik prediktorlarının formalaşdırılması nəzərdə tutulur.

Demoqrafik göstəricilərin qiymətləndirilməsi zamanı hər iki qrupda pasiyentlər cins və yaşa görə etibarlı şəkildə fərqlənməmişdir (cədv. 1). Buna görə də, belə qənaətə gəlinmişdir ki, nə pasiyentin yaşı, nə də cinsi ipidakrinlə müalicənin effektivliyinə əhəmiyyətli dərəcədə təsir göstərmir.

Eyni zamanda, ağrının aktivlik şkalası üzrə ağrı sindromunun parametrlərinin öyrənilməsi zamanı ipidakrinlə müalicədən nəticə əldə edənlərlə bu

Cədvəl 1. Qruplar üzrə demoqrafik göstəricilərin xüsusiyyətləri

Göstərici Respondentlər (35) Qeyri respondentlər (26) p-qiyməti
Cins, say K:13 / Q:22 K:12 / Q:14 0,6*
Yaş, orta qiymət (SK) 50,6 (15,9) 57,2 (14,5) 0,115**

* – Fișerin dəqiq testi; ** – Mann-Uitni meyarı

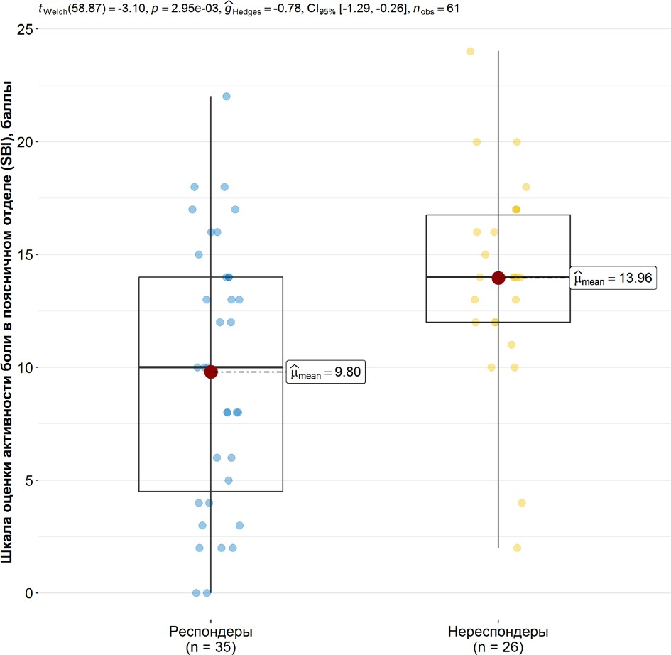
nəticənin kifayət qədər nəzərəçarpan olmadığı şəxslər arasında əhəmiyyətli fərqlər aşkar edilmişdir. Bel şöbəsində ağrının aktivliyinin orta qiyməti (SBI) eksperimental qrupda nəzarət qrupuna nisbətən statistik cəhətdən əhəmiyyətli dərəcədə aşağı (p < 0,01) olmuşdur (şək. 3) Analoji vəziyyət ağrının tezliyi şkalası (SFI) üzrə ağrı epizodlarının tezliyinin qiymətləndirilməsi zamanı da müşahidə olunmuşdur. Pasiyentlərdə ağrı paroksizmləri nə qədər tez-tez yaranırdısa, AXE inhibitoru bir o qədər daha az təsir edirdi (şək. 4)

Beləliklə, ağrının aktivliyinin və tezliyinin yüksək olmadığı radikulopatiya halında ipidakrinin müalicə sxeminə daxil edilməsi əsaslandırılmış olacaq və çox güman ki, algik pozuntunun xroniki hala keçməsi riskinin qarşısını almağa kömək edəcəkdir.

Müalicənin effektivliyinə təsir edən çox vacib parametr bel ağrısı fonunda Roland-Morris sorğu vərəqəsi üzrə həyat keyfiyyətinin pozulma dərəcəsi olmuşdur. Responderlər qrupu qeyri-responderlər qrupuna nisbətən ilkin olaraq həyat keyfiyyətinin etibarlı şəkildə daha az dərəcədə pozulması ilə xarakterizə olunurdu (cədv. 2)

Birinci gəlişdə ENMQ-də qeydə alınan funksional pozuntuların dərəcəsinin əhəmiyyət kəsb edib-etmədiyi məsələsi tədqiqatçıları narahat edirdi. Lakin responderlərin və qeyri-responderlərin parametrləri müqayisə edildikdə, stimulyasiyalı ENMQ parametrlərində N-refleksin amplitudası və latent dövrü baxımından statistik cəhətdən əhəmiyyətli fərqlər aşkar edilməmişdir. Buna görə də, çox güman ki, zədələnmiş kökcüyün funksional zədələnmə dərəcəsi ipidakrin (Neyromidin®) ilə kombinə olunmuş müalicənin effektivliyinə təsir edən parametr ola bilməz.

Mərkəzi sensitizasiya parametrlərinin, təşviş və depressiya səviyyələrinin, yuxu pozulmalarının müqayisəsi zamanı statistik cəhətdən əhəmiyyətli

Cədvəl 2. Roland-Morris sorğu vərəqəsi üzrə həyat fəaliyyətinin pozulmasının qiymətləndirilməsi üzrə pasiyent qruplarının xüsusiyyətləri

Qrup, n Orta Mediana Min. Maks. SK Q25 Q75 Mann-Uitni meyarı,
p-qiyməti
Responderlər (35) 8,37 8 0 22 5,29 4,5 10,5 0,0052
Qeyri-responderlər (26) 11,77 11,5 3 18 4,22 9 15,5

fərqlər aşkar edilməmişdir. Bütün bu göstəricilərin ipidakrinin istifadəsi ilə aparılmış müalicənin nəticələrinə əsasən, müsbət dəyişikliklərə uğramalarına baxmayaraq, ilkin parametrlər diferensiasiyalı müalicənin seçilməsi üçün əhəmiyyət kəsb etmirlər.

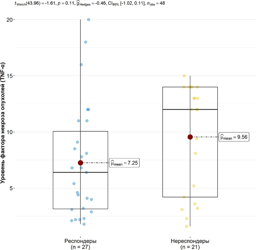
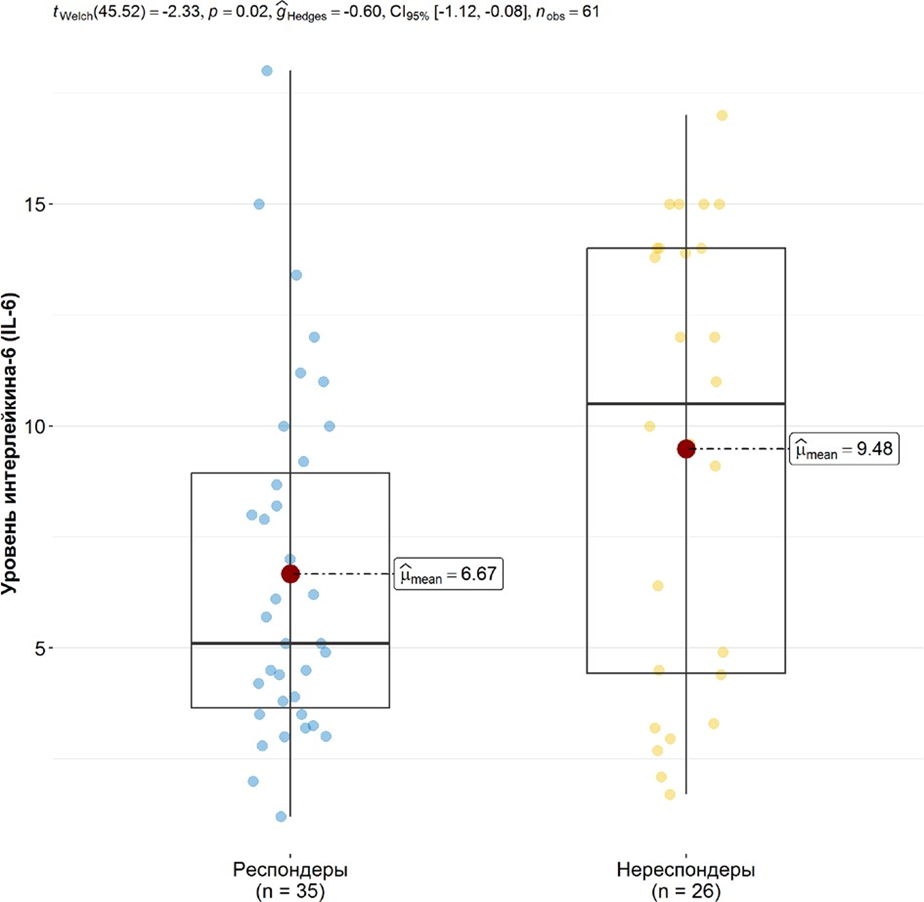
Eyni zamanda responderlər qrupu ilə qeyri-responderlər qrupu arasında pasiyentlərin orqanizmində iltihab reaksiyasını göstərən interleykin-6-nın səviyyəsində əhəmiyyətli fərq aşkar edilmişdir (şək. 5).

Analoji tendensiya eynilə iltihab reaksiyasını göstərən şişlərin nekroz faktoru-alfanın (TNF-α) parametrlərində də qeydə alınmışdır. Responderlər qrupunda TNF-α-nın orta səviyyəsi qeyri-responderlər qrupuna nisbətən aşağıdır, lakin fərqlər statistik etibarlılıq səviyyəsinə çatmır, bu da, ehtimal ki, pasiyentlərin məhdud seçməsi ilə əlaqədardır (şək. 6).

Çox güman ki, bel ağrısının qeyri-iltihabi xarakteri barədə danışmaq olar, bu, radikulopatiyaların kompleks müalicəsində AXE preparatlarının istifadə effektivliyinin prediktoru olacaqdır.

MÜZAKİRƏ VƏ NƏTİCƏLƏR

Aparılmış müqayisəli tədqiqat Neyromidin® preparatının istifadə edildiyi qrupda Neyromidin® preparatının istifadə edilmədiyi qrupla müqayisədə ağrılı radikulopatiyanın müalicəsinin etibarlı şəkildə daha effektiv olduğunu nümayiş etdirmişdir. Bu məlumatlar Neyromidin® preparatının radikulopatiyanın müalicəsində effektiv olduğu digər tədqiqat işlərinin nəticələri ilə uyğundur [19, 20]. Fikrimizcə, Neyromidin® preparatı əlavə edildikdə müalicənin daha yüksək effektivliyi onun nosiseptiv siqnalın

Şək. 3 Bel şöbəsində ağrının aktivliyinin qiymətləndirilməsi (SBI) üzrə qrupların müqayisəsi

periferik və mərkəzi səviyyələrdə modulyasiya proseslərinə, neyroregenerasiyaya, sinaptik ötürülməyə, neyron membranlarının funksiyasının yaxşılaşmasına təsir etmə xüsusiyyətləri vasitəsilə həyata keçirilir.

Tədqiqat işimizdə biz göstərdik ki, Neyromidin® preparatı ilə kombinə olunmuş müalicənin daha yüksək effektivliyinin prediktorlarından biri ağrının neyroiltihabi, çox güman ki, neyropatik xarakteridir (responderlərdə interleykin 6-nın və şişin nekroz amilinin yüksək olmayan səviyyələri), bu da preparatın yuxarıda qeyd edilmiş təsir mexanizmi ilə izah oluna bilər.

Fəallığı və ağrı epizodlarının tezliyi aşağı olan pasiyentlərdə, eləcə də Roland-Morrisin sorğu vərəqəsi ilə müəyyən edilən həyat fəaliyyətinin ağır olmayan pozulmaları zamanı, yəni ağrı sindromu orta ağır dərəcədə olduqda, Neyromidin® preparatı ilə kombinə olunmuş müalicənin daha yüksək effektivliyi

nümayiş etdirilmişdir ki, bu da daha çox rast gəlinən ambulator səviyyəli pasiyentlər qrupuna uyğundur.

Neyromidin® preparatı sinir kökcüyünün həm orta dərəcəli, həm də kobud funksional dəyişiklikləri zamanı eyni dərəcədə effektivdir ki, bu da responderlər və qeyri-responderlər qruplarında ENMQ-nin ilkin parametrləri üzrə fərqlərin olmaması ilə təsdiq edilir.

Beləliklə, tədqiqat işimizdə əldə edilmiş məlumatlar Neyromidin® preparatının ağrılı radikulopatiyaların müalicəsinə daxil edilməsinin məqsədəuyğunluğunu nümayiş etdirir. Müalicənin effektivliyinin aşkar edilmiş prediktorlarının nəzərə alınması ağrılı radikulopatiyadan əziyyət çəkən pasiyentlərin mexanizmlə əsaslandırılan diferensiasiyalı müalicəsinin aparılmasını yaxşılaşdırmağa imkan verəcəkdir.

Şək. 4 Bel şöbəsində ağrının tezliyinin qiymətləndirilməsi (SFI) üzrə qrupların müqayisəsi

Şək. 5 İnterleykin-6-nın (IL-6) səviyyəsinə görə qrupların müqayisəsi

Şək. 6 Şişlərin nekroz faktorunun (TNF-α) səviyyəsi üzrə qrupların müqayisəsi

İSTİFADƏ OLUNMUŞ ƏDƏBİYYATIN SİYAHISI

  • Institute for health metrics and evaluation, 2018 Available: http://www.healthdata. org/data-visualization/gbd-compare
  • Hoy D, March L, Brooks P, et al.. The global burden of low back pain: estimates from the global burden of disease 2010 study. AnnRheumDis 2014;73:968– 74. 10.1136/annrheumdis-2013-204428
  • Schofield P. Assessment and management of pain in older adults with dementia: a review of current practice and future directions. CurrOpin Support Palliat Care 2008;2:128–32. 10.1097/SPC.0b013e3282ffb406
  • Patrick N, Emanski E, Knaub MA. Acute and chronic low back pain. Med Clin North Am 2014;98:777–89. 10.1016/j.mcna.2014.03.005
  • Casazza BA. Diagnosis and treatment of acute low back pain. AmFamPhysi- cian 2012;85:343–50.
  • Deyo RA, Weinstein JN. Low back pain. N Engl J Med 2001;344:363–70. 10.1056/ NEJM200102013440508
  • Диагностика и лечение скелетно-мышечных (неспецифических) болей в нижней части спины : Клинические рекомендации / А. В. Амелин, Л. Р. Ахмадеева, Е. В. Ачкасов [и др.]. – Москва : Российское межрегиональное общество по изучению боли, 2021. – 47 с. – EDNMIUICA.
  • da C Menezes Costa L, Maher CG, Hancock MJ, et al.. The prognosis of acute and persistent low- back pain: a meta-analysis. CMAJ 2012;184:E613–24. 10.1503/cmaj.111271
  • Курушина, О. В. Боль в спине: гендерные особенности / О. В. Курушина, А. Е. Барулин // Саратовский научно-медицинский журнал. – 2012. – Т. 8, № 2. – С. 477-481. – EDNPINTZT.
  • GianolaS, CastelliniG, AndreanoA, etal.. Effectiveness of treatments for acute and sub-acute mechanical non-specific low back pain: protocol for a sys- tematic review and network meta-analysis. SystRev 2019;8:196. 10.1186/ s13643-019-1116-3
  • Барулин, А. Е. Комплексное лечение острой неспецифической боли в нижней части спины / А. Е. Барулин, О. В. Курушина, А. Е. Пучков // Неврология, нейропсихиатрия, психосоматика.
  • – 2014. – № 3. – С. 38-42. – DOI 10.14412/2074-2711-2014-3-38-42. – EDN SXMTKR.
  • Данилов, А. Б. Алгоритм диагностики и лечения боли в нижней части спины с точки зрения доказательной медицины / А. Б. Данилов // Атмосфера. Нервные болезни. – 2010. – №
  • 4. – С. 11-18. – EDNTMWACT.
  • van Tulder M, Becker A, Bekkering T, et al.. Chapter 3. European guidelines for the management of acute nonspecific low back pain in primary care. Eur- Spine J 2006;15 Suppl 2:S169–91. 10.1007/s00586-006-1071-2
  • Дискогенная пояснично-крестцовая радикулопатия. Рекомендации Российского общества по изучению боли (РОИБ) / В. A. Парфенов, Н. Н. Яхно, О. С. Давыдов [и др.] // Неврология, нейропсихиатрия, психосоматика. – 2020. – Т. 12, № 4. – С. 15-24. – DOI 10.14412/2074- 2711-2020-4-15. – EDN EFWTQD.
  • Данилов, А. Б. Биопсихосоциальная модель и хроническая боль / А. Б. Данилов // Российский журнал боли. – 2010. – № 1(26). – С. 3-7. – EDN UCSYZP.
  • Gianola S, Bargeri S, Del Castillo G, Corbetta D, Turolla A, Andreano A, Moja L, Castellini G. Effec- tiveness of treatments for acute and subacute mechanical non-specific low back pain: a system- atic review with network meta-analysis. Br J Sports Med. 2022 Jan;56(1):41-50. doi: 10.1136/ bjsports-2020-103596. Epub 2021 Apr 13. PMID: 33849907; PMCID: PMC8685632.
  • Malik KM, Nelson AM, Avram MJ, Robak SL, Benzon HT. Efficacy of pregabalin in the treatment of radicular pain: results of a controlled trial. Anesth Pain Med. 2015;5:e28110. https://doi. org/10.5812/aapm.28110
  • Барулин, А. Е. Применение методики кинезиотейпирования у пациентов неврологического профиля / А. Е. Барулин, О. В. Курушина, Б. М. Калинченко // РМЖ. – 2016. – Т. 24, № 13. – С. 834-837. – EDNWICZWZ.
  • Самарцев И.Н., Живолупов С.А., Воробьева М.Н., Паршин М.С., Нажмудинов Р.З. Оптимизация дифференциальной диагностики и терапии вертеброгенной шейной радикулопатии (исследование ШЕРПА). Журнал неврологии и психиатрии им.  С. С. Корсакова. 2020;120(9):37-46. [SamartcevIN, ZhivolupovSA, VorobyovaMN, ParshinMS, NazhmudinovRZ. The optimization of differential diagnosis and treatment of cervical radicu- lopathy (SHERPA study). ZhurnalNevrologiiiPsikhiatriiimeni S.S. Korsakova. 2020;120(9):37-46. (In Russ.)]https://doi.org/10.17116/jnevro202012009137
  • Камчатнов П.Р.,  Дзугаева Ф.К., Чугунов А.В., Казаков А.Ю. Применение ипидакрина   у пациентов с заболеваниями периферической нервной системы. Неврология и Ревматология (Прил. к журн. ConsiliumMedicum). 2018; 1: 36–40. DOI: 10.26442/2414- 357X_2018.1.36-40
  • Авакян Г.Н., Авакян Г.Г. Клинико-электронейромиографическое исследование эффективности ипидакрина у пациентов с мононевропатиями. Журнал неврологии и психиатрии им. С.С. Корсакова. 2015;115(9):9-17. https://doi.org/10.17116/jnevro20151159117-22
  • Меркулов Ю.А., Магомедова А.М., Биглова А.Н., Гамбург А.М., Ташанова Б.А., Меркулова Д.М. Компрессиянервовичувств:  ипидакринкаксветвконцетуннеля.  Журнал неврологии и психиатрии им. С.С. Корсакова. 2021;121(2):31-37. [Merkulov YuA, Magomedova AM, Biglo- va AN, Gamburg AM, Tashanova BA, Merkulova DM. Compression of nerves and senses: ipida- crine as the light at the end of the tunnel. Zhurnal Nevrologii i Psikhiatrii imeni S. S. Korsakova. 2021;121(2):31-37. (In Russ.)]
  • Меркулов Ю.А., Гамбург А.М., Лезина Д.С., Федорова А.Н., Онсин А.А., Меркулова Д.М. Оптимизация диагностики и лечения дорсалгии в условиях реальной клинической практики: вторичная конечная точка многоцентрового наблюдательного исследования ДОРИСС. Журнал неврологии и психиатрии им. С.С. Корсакова. 2023;123(2):73-82. [Merku- lov YuA, Gamburg AM, Lezina DS, Fedorova AN, Onsin AA, Merkulova DM. Optimizing the diag- nosis and treatment of dorsalgia in real-world clinical practice: the secondary endpoint of the DORISS multicenter observational study. Zhurnal Nevrologii i Psikhiatrii imeni S.S. Korsakova. 2023;123(2):73-82. (In Russ.)] https://doi.org/10.17116/jnevro202312302173
  • Строков И.А., Захаров В.В., Головачева В.А., Бранд П.Я. Активация холинергической иннервации в лечении заболеваний периферической и центральной нервной системы. Журнал неврологии и психиатрии им. С.С. Корсакова. 2013;103(6):91-98.
  • Kirichok LM, Mislivets SA. Prospects for Using Amiridine as an Analgesic with a Wide Phar- macological Spectrum of Action. Neurophysiology. 2002;67(34):154-160. https://doi. org/10.1023/A:1020722426457