Sayt yalnız tibb işçiləri üçün nəzərdə tutulmuşdur
Sayt yalnız tibb işçiləri üçün nəzərdə tutulmuşdur
Periferik sinir sistemi xəstəliklərinin müalicəsində ipidakrinin rolu və yeri. Ekspertlər şurasının qətnaməsi
© A.B. DANİLOV1, M.L. KUKUŞKİN2, N.A. SUPONEVA3, A.V. AMELİN4, S.A. JİVOLUPOV5, V.A. ŞİROKOV6,     O.S. DAVIDOV2, İ.A. STROKOV1, M.V. ÇURYUKANOV1, İ.G. …

© A.B. DANİLOV1, M.L. KUKUŞKİN2, N.A. SUPONEVA3, A.V. AMELİN4, S.A. JİVOLUPOV5, V.A. ŞİROKOV6,     O.S. DAVIDOV2, İ.A. STROKOV1, M.V. ÇURYUKANOV1, İ.G. KOZLOV1

1Rusiya Səhiyyə Nazirliyinin “İ.M. Seçenov adına Birinci Moskva Dövlət Tibb Universiteti” AT FDMTM (Seçenov Universiteti), Moskva, Rusiya;

2“Ümumi Patologiya və Patofiziologiya Elmi-tədqiqat İnstitutu” FDBEM, Moskva, Rusiya;

3“Nevrologiya Elmi Mərkəzi” FDBEM, Moskva, Rusiya;

4Rusiya Səhiyyə Nazirliyinin “Akad. İ.P. Pavlov adına Birinci Sankt-Peterburq Dövlət Tibb Universiteti” AT FDBTM, Sankt-Peterburq, Rusiya;

5Rusiya Müdafiə Nazirliyinin “S.M. Kirov adına Hərbi Tibb Akademiyası” FDBHTM, Sankt-Peterburq, Rusiya;

6Rospotrebnadzorun “F.F. Erisman adına Federal Elmi Gigiyena Mərkəzi” FBEM, Moskva vilayəti, Mıtişşi, Rusiya.

Xülasə

Ekspertlər Şurasının qətnaməsi müxtəlif mənşəli mononeyropatiyaların, polineyropatiyaların və radikulopatiyaların müalicəsində ipidakrinin istifadə aspektlərinin müzakirəsinə həsr olunmuşdur. Nevrologiya sahəsində aparıcı mütəxəssislər tərəfindən periferik sinir sistemi xəstəlikləri zamanı ipidakrinin istifadəsi üzrə təkliflər formalaşdırılmışdır.

Açar sözlər: neyropatiya, mononeyropatiya, polineyropatiya, radikulopatiya, ipidakrin.

Müəlliflər barədə məlumat:

A.B. Danilov — https://orcid.org/0000‑0001‑8904‑2538

M.L. Kukuşkin — https://orcid.org/0000‑0002‑9406‑5846

N.A. Suponeva — https://orcid.org/0000‑0003‑3956‑6362

A.V. Amelin — https://orcid.org/0000‑0001‑6437‑232X

S.A. Jivolupov — https://orcid.org/0000‑0003‑0363‑102X

V.A. Şirokov — https://orcid.org/0000‑0002‑5308‑2025

O.S. Davıdov — https://orcid.org/0000‑0003‑3252‑4311

İ.A. Strokov — https://orcid.org/0000‑0001‑6950‑7166

M.V. Çuryukanov — https://orcid.org/0000‑0001‑6542‑1963

İ.Q. Kozlov — https://orcid.org/0000‑0002‑9694‑5687

16.01.2024-cü il tarixində Moskvada periferik sinir sistemi (PSS) xəstəliklərinin müalicəsində ipidakrinin rolunun qiymətləndirilməsinə həsr olunmuş Ekspertlər Şurası keçirilmişdir.

Neyropatiyalar müxtəlif ixtisaslı həkimlərin mütəmadi olaraq rastlaşdıqları PSS xəstəlikləri qrupudur. Mononeyropatiyalar arasında kompression-işemik (tunel) sindromlar daha çox yayılmışdır. Xəstəliklərin bu qrupunda tezlik üzrə birinci yeri karpal tunel sindromu (KTS) tutur, populyasiya nümayəndələrinin 1-7%-də rast gəlinir və peşə xəstəliklərinin strukturunda 6-cı yeri tutur. Bəzi peşə qrupları arasında KTS-nin yayılması daha yüksək ola bilər — müayinə olunanların 14,5%-i [2—4], xəstələnmə səviyyəsi — 100 min əhaliyə 150 nəfər. Qadınlarda KTS kişilərə nisbətən 3-6 dəfə daha çox diaqnostika olunur, yaş artdıqca xəstəliyin yayılma səviyyəsi və simptomların ağırlıq dərəcəsi artır [5]. Yayılmasına görə ikinci yerdə dirsək sinirinin neyropatiyası  — kubital tunel sindromu dayanır, əhalinin 1,8-6%-də rast gəlinir [6]. Bu xəstəliyin yayılma səviyyəsi kişilər arasında 100 min nəfərə 25,2- 32,7 nəfər, qadınlar arasında 100 min nəfərə 18,9-17,2 nəfər təşkil edir [7, 8].

Aşağı ətrafların mononeyropatiyaları arasında ən çox rast gəlinəni oturaq sinirinin neyropatiyasıdır, ümumi populyasiyada onun yayılması 12-27% təşkil edir, fibulyar kanal sindromu (ümumi incik sinirinin neyropatiyası) daha az hallarda rast gəlinir [9].

Polineyropatiyalar (PNP) da böyük aktuallıq kəsb edirlər. Rusiyada PNP PSS-nin bütün zədələnmələrinin ən azı 60%-ni təşkil edir [10]. PNP-lərə başlıca olaraq, somatik patologiya fonunda periferik sinirlərin qazanılmış formaları daxildir, çox zaman autoimmun, paraneoplastik, toksik PNP-lərə rast gəlinir. PNP-lərin 30%-ə qədərinin etiologiyası dəqiqləşdirilməmiş qalır ki, bu da müalicəni çətinləşdirir. Diabetik PNP və alkoqol mənşəli PNP daha çox rast gəlinir. Avropa ölkələrində PNP-nin ümumi yayılması 100 min əhaliyə 2400 nəfər təşkil edir, yaşlı insanlar arasında yayılma səviyyəsi 3-4 dəfə artır [11].

PSS xəstəliklərinin diaqnostikası və müalicəsi sahəsindəki uğurlara baxmayaraq, effektiv müalicə strategiyasının və taktikasının seçimi fərdiləşdirilmiş yanaşma tələb edir. Bununla əlaqədar olaraq, müalicəyə patogenetik baxımdan əsaslandırılmış yanaşma xüsusi diqqətə layiqdir, neyropatiyaların patogenezinin əsas halqalarına yönəlmiş, xəstəliyin klinik mənzərəsini əhəmiyyətli dərəcədə yaxşılaşdıra və pasiyentin həyat keyfiyyətini artıra bilən dərman vasitələrinin axtarışı aktualdır.

 

Neyrotransmissiyanın, neyroregenerasiyanın və ağrının tənzimlənməsində xolinergik sistemin rolu

Xolinergik sistemə mərkəzi və periferik xolinergik neyronlar, pre- və postsinaptik membranların reseptor aparatları, fermentlər (asetilxolinesteraza (AXE), butirilxolinesteraza) və universal mediator olan asetilxolin (AX) daxildir [17]. PSS və MSS-də xolinergik reseptorlar (XR) neyronlarda və qlial hüceyrələrdə olur və bir çox neyronal/qlial fizioloji funksiyalara, o cümlədən neyroplastikliyə, təlim, dərketmə və yaddaşla əlaqəli sinapsların funksiyasına, miyelinləşməyə, qliyanın diferensiasiyasına vasitəçilik edirlər. Şizofreniya, Alzheymer və Parkinson kimi MSS xəstəlikləri, eləcə də PSS-nin zədələnməsi zamanı XR-in ekspressiyası əhəmiyyətli dərəcədə dəyişir. Xolinergik sistem AX-nin sintez oluna biləcəyi bəzi qeyri-neyronal toxumalarda (limfositlər, keratinositlər, kök hüceyrələri və ağciyərlərin epitel hüceyrələri) təmsil olunur. AX XR ilə birləşdikdə autokrin və/və ya parakrin siqnalları aktivləşdirərək, hüceyrələrin böyüməsini, sağ qalmasını və diferensiasiyasını modulyasiya edə bilər [19]. N-XR-nin neyroproteksiyada rolu yaxşı öyrənilmişdir. N-XR tipik ion kanallarıdır, onların stimullaşdırılması hüceyrədaxili siqnal yolları ilə neyroproteksiyaya aparan və çox güman ki, Ca2+ axını ilə işə salınan ləngimiş hüceyrə reaksiyalarını induksiya edir. MSS-də başlıca olaraq α4‑ və α7‑N‑XR ekspressiya olunur. N-XR-in uzunmüddətli stimullaşdırılması və ya AXE inhibitorlarının təsiri qlutamatın, β‑amiloidin və digər agentlərin səbəb olduğu neyrotoksiklikdən müdafiəni təmin edir. Nikotin neyroproteksiyası α7‑N-XR-in vasitəçiliyi ilə baş verir, bu reseptor Ca2+ üçün yüksək keçiricilik nümayiş etdirir [20]. N-XR-in uzunmüddətli stimullaşdırılması səbəbindən yaranan neyroprotektiv təsirlər neyronal aktivliyin stimullaşdırılması proseslərində onların rolunu vurğulayır. M-XR transmembran G-zülal reseptorları qrupuna aiddirlər və onların G-zülal ilə əlaqəsindən asılı olaraq təsnif edilirlər.

   Aksonların regenerasiyasında endogen neyrotrofinlər və Şvan hüceyrələri (ŞH) də mühüm rol oynayırlar. Neyrotrofinlər, xüsusilə də beynin neyrotrofik faktoru və hipofizin adenilatsiklazasını aktivləşdirən peptid (HAAP) hüceyrə zədələnmələri ilə mübarizə aparmaq üçün əhəmiyyətli potensiala malikdirlər. ŞH neyronların miyelinləşməsində və onlara trofik dəstəyin təmin olunmasında əsas rol oynayırlar [23]. Hazırda neyrotrofinlərin neyrotransmitterlərlə, xüsusilə də HAAP və AX ilə qarşılıqlı təsiri müəyyən olunmuşdur. Neyropeptidlər adi neyrotransmitterlərlə qarşılıqlı təsirdə olaraq, sinaptik çıxışı tənzimləyirlər; HAAP AX ilə birlikdə presinaptik terminallarda yerləşir, stimullaşdırılma zamanı azad olunur və N-XR-in vasitəçilik etdiyi reaksiyaları gücləndirir, bu da HAAP-nin nikotin neyrotransmissiyasında iştirak etdiyini göstərir [24].

Yerli tədqiqatçılar ŞH-də XR-in miqdarının dəyişməsi ilə aksonların oyanıqlığı arasında əlaqəni aşkar ediblər. Həmçinin müəyyən edilib ki, AX miyelin lipidlərinin nizamlanmasının artmasını stimullaşdırır, bu da “akson —ŞH” qarşılıqlı əlaqələrinin spesifik rolunu göstərir. Belə bir fərziyyə irəli sürülmüşdür ki, aksonların oyanması zamanı K+ cərəyanı səbəbindən ŞH membranının depolyarizasiyası və Ca2+ axını fosfolipazanın aktivləşməsinə, hüceyrədaxili membran qovuqcuqlarının ekzositozuna və miyelin strukturunun yenidən təşkilinə gətirib çıxarır. Periferik sinirlər zədələndikdə AX həm də onların regenerasiyasına kömək edən iltihabəleyhinə təsirləri stimullaşdıra bilər [26].

Xolinergik sistem hərəki və koqnitiv funksiyalardan əlavə, ağrının modulyasiyasında da iştirak edir: xolinergik neyronların uzunsov beynin rostral ventromedial nahiyəsindən onurğa beyninin III lövhəsinə birbaşa proyeksiyaları aşkar edilmişdir, bu da beyin kötüyünün xolinergik neyronları tərəfindən nosiseptiv siqnalların ötürülməsinə birbaşa enən nəzarətin olduğunu güman etməyə əsas verir [27].

AX nosiseptiv siqnalların ötürülməsini onurğa beyni səviyyəsində pre- və postsinaptik mexanizmlər hesabına tənzimləyir: onurğa beynində AX-nin konsentrasiyasının artması ağrısızlaşmaya səbəb olur və əksinə, AX-nin konsentrasiyasının və ya aktivliyinin lokal azalması nosisepsiyanı gücləndirir, hiperalgeziyaya və allodiniyaya səbəb olur [27]. Ventrolateral periakveduktal boz maddənin α7‑ N‑XR-in stimullaşdırılması uzunmüddətli ağrıkəsici təsiri təmin edir. Bu qeyri-opioid mexanizm hətta opioidlərə qarşı dözümsüzlüyü olan heyvanlarda da effektiv olaraq qalır və alışqanlığa səbəb olan xüsusiyyətlərə malik deyil, bu kəşf AX-yə və ya α7‑AX reseptorlarına təsir edən ağrıkəsicilərin işlənib hazırlanması üçün imkanlar açır və alışqanlığın yaranması riski olmadan opioidlərlə müqayisə edilə bilən yüngülləşmə təklif edir [28].

       Xolinergik mexanizmlər müxtəlif dərman qruplarından olan preparatların təsiri zamanı ağrısızlaşmanın həyata keçirilməsində mühüm rol oynayırlar. Xüsusilə də, morfin  ağrısızlaşmaya səbəb olan dozalarda zolaqlı cisimdə AX-nin konsentrasiyasını artırır; AX-nin inhibitorlarının birlikdə yeridilməsi opioid analgeziyanı gücləndirə bilər. Kofeinin antinosiseptiv təsiri də xolinergik qeyri-opioidergik ötürülmədən asılıdır. 5‑HT4 serotonin reseptorlarının aqonistləri AX-dən asılı ağrıkəsici təsir göstərirlər, bu da beyində triptaminergik və xolinergik sistemlər arasında sıx əlaqənin olduğunu güman etməyə əsas verir.

             Belə hesab edilir ki, qabapentinin ağrıkəsici təsiri onurğa beynində AX-nin azad olması ilə əlaqədardır [27]. Həmçinin belə güman etməyə əsas vardır ki, stress analgeziyası təkcə opioidergik deyil, həm də xolinergik mexanizmlər vasitəsilə həyata keçirilir.

AXE-nin inhibitoru olan ipidakrin periferik neyropatiyaların müalicəsində

İpidakrinin farmakodinamikası

 

Xolinesteraza əleyhinə preparatların təsnifatında ipidakrin xüsusi yer tutur və kombinə olunmuş təsirə malik dərman vasitələrinə aid edilir. Preparatın iki tətbiq nöqtəsi vardır: o, AXE və kalium kanallarına təsir göstərir. İpidakrin presinaptik neyronu stimullaşdırır və AX-nin sinaptik yarığa buraxılmasını artırır, sinapsdan sonrakı hüceyrənin aktivliyini birbaşa membran və ya vasitəli mediator təsiri ilə artırır. AXE-dən əlavə ipidakrin həm də baş beyində butirilxolinesterazanı da inhibə edir, bu, məkan funksiyalarının, yaddaşın və öyrənmə qabiliyyətinin yaxşılaşmasına gətirib çıxarır ki, bu da yaşla bağlı koqnitiv pozuntular, Alzheymer xəstəliyi zamanı xüsusilə vacibdir. İpidakrinin farmakodinamikasının mühüm xüsusiyyəti onun hematoensefalik baryerdən asanlıqla keçməsidir və bunun sayəsində ipidakrin MSS-də öz təsirlərini həyata keçirir [31]. İpidakrin həm inyeksiya, həm də tablet formasında buraxılır, bu da pasiyentlərin müalicəyə əməl etməsini artırır.

Rusiya Federasiyasında ipidakrinin üç dərman forması qeydiyyatdan keçirilmişdir: 20 mq tabletlər, 5 mq/ml dərialtı və əzələdaxili yeridilmə üçün məhlul, 15 mq/ml dərialtı və əzələdaxili yeridilmə üçün məhlul. Preparatın istifadə təlimatına əsasən, ipidakrinin təyin edilməsi üçün göstərişlər aşağıdakılardır:

— müxtəlif etiologiyalı mono- və polineyropatiyalar, poliradikulopatiya, miasteniya və miastenik sindrom;

  • bulbar ifliclər və parezlər, MSS-nin üzvi zədələnmələrinin hərəki və/və ya koqnitiv pozuntularla müşayiət olunan bərpa dövrü;
    • bağırsaq atoniyasının müalicəsi və profilaktikası.

İpidakrinin klinik və elektrofizioloji təsirləri

Aparılmış biblioqrafik axtarışın nəticələrinə əsasən, 1998-ci ildən 2023-cü ilədək olan dövrdə ipidakrinin effektivliyi və təhlükəsizliyi 56 klinik tədqiqatda öyrənilmişdir. PSS-nin xəstəlikləri zamanı ipidakrinin istifadəsi 29 tədqiqatda öyrənilmişdir, onlardan 9-u randomizə edilmiş tədqiqat olmuşdur (cəmi 12 500-dən artıq pasiyent).

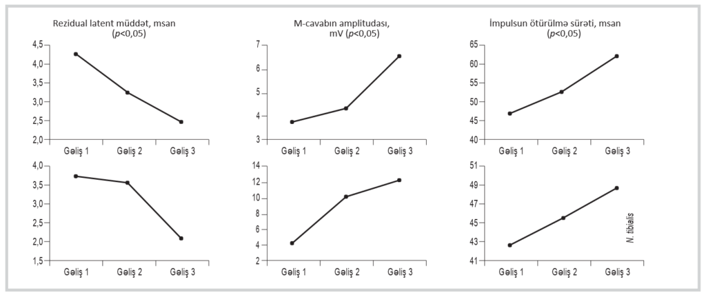
İpidakrinin mononeyropatiyalar zamanı istifadəsinə dair tədqiqatlarda hissi və hərəki pozuntuların, ağrı sindromunun, eləcə də elektroneyromioqrafiya (ENMQ) parametrlərinin dinamikası öyrənilmişdir. ENMQ-nin məlumatlarına əsasən, ilk növbədə, hissi sinir lifləri boyu impulsun ötürülmə sürətinin (İÖS) artması, eləcə də S- və M-cavabın amplitudasının artması qeydə alınmışdır (şək.1). Tunel neyropatiyası olan pasiyentlərdə hipesteziyanın statistik cəhətdən əhəmiyyətli dərəcədə azalması, təhrikedici testlərin nəticələrinin normallaşması, S-cavabların amplitudalarının, müayinə edilən sinirlərin hərəki və hissi lifləri boyu İÖS-nin artması, (p<0,05), neyropatik ağrı sindromunun azalması (p<0,01) göstərilmişdir [32]. Tunel sindromları olan, ipidakrinlə birlikdə standart müalicə qəbul edən pasiyentlərdə 4 həftədən sonra müayinə zamanı həm klinik, neyrofizioloji, həm də psixoemosional göstəricilər üzrə psixoaktiv preparatların istifadəsini tələb etməyən, etibarlı müsbət dinamika qeydə alınmışdır [32]. Orta (p=0,007) və dirsək (p=0,039) sinirlərinin kompressiyası ilə təkrar testin aparılması zamanı şikayətlərin azalması, kubital tunel sindromu olan pasiyentlərdə turniket testi (p=0,005), Tinel testi (p=0,029) və Falen testi (p=0,018) baxımından müsbət dinamika, dirsək (p=0,001) və orta (p=0,019) sinirlərin hərəki lifləri boyu İÖS-nin artması qeydə alınmışdır.

Neyropatiyalarda ipidakrinin effektivliyinin öyrənilməsi zamanı həmçinin, zədələnmiş ətrafda gücün etibarlı şəkildə artması, eləcə də orta və qamış sinirlərinin hərəki lifləri üzrə İÖS-nin və M-cavabın amplitudasının etibarlı şəkildə artması göstərilmişdir [33].

PSS-nin müxtəlif xəstəliklərindən (polineyropatiyalar, radikulopatiyalar, nevralgiyalar/nevritlər və mononeyropatiyalar) əziyyət çəkən ambulator pasiyentlərin 4 qrupunun iştirakı ilə keçirilmiş müşahidəli İMPULS tədqiqatının nəticələri də xüsusi diqqətə layiqdir. Müalicə aşağıdakı sxemlər üzrə aparılmışdır: ipidakrin inyeksiyaları 10— 15 mq/gün 10 gün ərzində, daha sonra tabletlər 20—60 mq/gün 20 gün ərzində və ya tabletlər 20—60 mq/gün (1—3 tablet) 30 gün ərzində. İpidakrinlə müalicə fonunda 4 qrupun hamısında hissi pozuntuların şiddətinin azalması müşahidə olunmuşdur, lakin daha nəzərəçarpan müsbət dinamika (ilkin səviyyə ilə müqayisədə 68%) radikulopatiyaları olan pasiyentlər qrupunda qeydə alınmışdır. Bütün qruplarda ipidakrinin qəbulu fonunda hərəki funksiyaların (əzələ gücünün) etibarlı şəkildə yaxşılaşması qeydə alınmışdır, daha nəzərəçarpan dinamika mononeyropatiyaları olan pasiyentlər qrupunda müşahidə edilmişdir. Pasiyentlərin bütün kohortunda ağrı sindromunun intensivliyi azalmış, daha güclü təsir mononeyropatiyaları və radikulopatiyaları olan pasiyentlərdə qeydə alınmışdır [34]. İpidakrinin güclü ağrıkəsici təsiri travmatik neyropatiyaları olan pasiyentlərdə də qeydə alınmışdır (şək. 2) [35].

İpidakrinin effektivliyi diabetik PNP (DPN) olan pasiyentlərdə tədqiq edilmişdir. Nəzarət qrupları ilə müqayisədə nevroloji simptomların statistik cəhətdən daha əhəmiyyətli azalması, o cümlədən səthi və dərin hissiyyatın yaxşılaşması və ağrı sindromunun azalması qeydə alınmışdır. Bununla yanaşı, hərəki funksiyaların etibarlı şəkildə yaxşılaşması qeydə alınmışdır.

Şək. 1 Mononeyropatiyalar zamanı ipidakrinin ENMQ göstəricilərinə təsiri ([33]-ə əsasən).

 Fig. 1. Effect of ipidacrine on ENMG parameters in mononeuropathies (according to [33]).

Şək. 2 Travmatik neyropatiyası olan pasiyentlərdə prozerinlə müqayisədə ipidakrin ilə müalicə zamanı subyektiv simptomların dinamikasının müqayisəli təhlili ([35] üzrə).

Fig. 2. Comparative analysis of dynamic symptoms with the appearance of ipidacrine compared with proserine in patients with traumatic neuropathies (according to [35]).

Надпись: А1Надпись: А2Надпись: А3Надпись: В1Надпись: Nəzarət 2Надпись: Nəzarət 3Şək. 3 DPN-li pasiyentlərdə ipidakrinlə pilləli müalicə sxeminin dizesteziyaların təzahür dərəcəsinə təsiri ([37] üzrə).

Fig. 3. The effect of a stepwise treatment regimen with ipidacrine on the severity of dysesthesia in patients with DPN (according to [37]).

Preparatın əzələdaxili yeridilməsini və daha sonra bir ay ərzində peroral qəbulunu ehtiva edən pilləli müalicə sxeminin istifadəsi zamanı nəzərəçarpan müsbət təsir əldə edilmişdir (şək. 3) [37].

Bundan əlavə, ipidakrin müxtəlif lokalizasiyalı radikulopatiyalara qarşı klinik təsir nümayiş etdirmişdir. Belə ki, tədqiqatda bel-oma radikulopatiyası olan pasiyentlərdə ipidakrinin standart müalicəyə əlavə edilməsi ağrı sindromunun əhəmiyyətli dərəcədə azalmasına (rəqəmsal ağrı reytinq şkalası üzrə qiymətləndirilmişdir), hissiyyat pozuntularının azalmasına və ilk növbədə hissi liflər üzrə İÖS-nin artmasına gətirib çıxarmışdır [38]. Artıq tamamlanmış tədqiqatlar çərçivəsində hissiyyat pozuntularının və ağrı sindromunun əhəmiyyətli dərəcədə azalması, hərəki funksiyaların yaxşılaşması göstərilmişdir. ENMQ parametrləri 3 klinik tədqiqatda öyrənilmişdir, bu tədqiqatlarda ilk növbədə hissi liflər, eləcə də hərəki liflər boyu İÖS-nin artması və M-cavabın artması qeydə alınmışdır [38—40].

Aparılmış klinik tədqiqatların nəticələri ipidakrinin yaxşı təhlükəsizlik və keçirilmə profilinə malik olduğunu söyləməyə imkan verir. 56 klinik tədqiqatın əksəriyyətində müxtəlif patologiyalar zamanı ipidakrinin əlavə təsirləri ya olmamış, ya da müvəqqəti xarakter daşımış və preparatın ləğvini tələb etməmişdir. İpidakrinin istifadəsi zamanı ən çox rast gəlinən əlavə təsirlər ağız suyunun axması, başgicəllənmə, ürəkbulanma, ishal, həddən artıq tərləmə, qusma, bradikardiya olmuşdur, onların tezliyi 6,5%-dən yuxarı olmamışdır [37].

Ekspertlər ipidakrinin ən çox istifadə edilən təyinat sxemlərini və dozalarını nəzərdən keçiriblər:

Tədqiqatların məlumatlarına əsasən, ipidakrinin pilləli təyinat sxemi ən effektiv hesab edilir.

Ekspertlər ayrılıqda ipidakrinin daxil olduğu tibbi yardım standartını müzakirə ediblər:

Ekspertlər Şurası tərəfindən qeyd olunmuşdur ki, ipidakrin PSS-nin xəstəlikləri zamanı koqnitiv funksiyaların yaxşılaşdırılması və təşviş-depressiya pozuntularının azaldılması məqsədilə, eləcə də qabapentinoidlərlə birlikdə, onların dozasının azaldılması və keçirilmələrinin yaxşılaşdırılması məqsədilə tövsiyə oluna bilər.

İclasın yekunlarına əsasən ekspertlər aşağıdakı nəticələrə gəliblər:

 

Müəlliflər maraqların toqquşmasının olmadığını bildirirlər.

The authors declare no conflicts of interest.

İSTİFADƏ OLUNMUŞ ƏDƏBİYYATIN SİYAHISI / REFERENCES

  1. Богов А.А., Масгутов Р.Ф., Ханнанова И.Г. и др. Синдром запястного (карпального) канала. Практическая медицина. 2014;2(4):80.

Bogov AA, Masgutov RF, Khannanova IG, et al. Carpal canal syndrome. Prakticheskaya medicina. 2014;2(4):80. (In Russ.).

  • Широков В.А., Кочурова Л.Л. Профессиональные риски развития синдрома запястного канала у работников железнодорожного транспорта. Медицина труда и промышленная экология. 2017;(9):220‑221. Shirokov VA, Kochurova LL. Occupational risks of carpal tunnel syndrome development in railway workers. Russian Journal of Occupational Health and Industrial Ecology. 2017;(9):220‑221. (In Russ.).
  • Genova A, Dix O, Saefan A, et al. Carpal Tunnel Syndrome: A Review of Literature. Cureus. 2020;12(3):e7333. https://doi.org/10.7759/cureus.7333
  • Osterman M, Ilyas AM, Matzon JL. Carpal tunnel syndrome in pregnancy. Orthop Clin North Am. 2012;43(4):515‑520.  https://doi.org/10.1016/j.ocl.2012.07.020
  • Гильвег А.С., Парфенов В.А. Синдром запястного канала в пожилом возрасте. ДокторРу. 2017;1(130):30‑34.

Gilweg AS, Parfenov VA. Carpal tunnel syndrome in old age. DoctorRu. 2017;1(130):30‑34. (In Russ.).              

  • Wade RG, Griffiths TT, Flather R, et al. Safety and Outcomes of Different Surgical Techniques for Cubital Tunnel Decompression: A Systematic Review and Network Meta‑analysis. JAMA Netw Open. 2020;3(11):e2024352. https://doi.org/10.1001/jamanetworkopen.2020.24352
  • Mondelli M, Giannini F, Ballerini M, et al. Incidence of ulnar neuropathy at the elbow in the province of Siena (Italy). J Neurol Sci. 2005;234(1‑2):5‑10. https://doi.org/10.1016/j.jns.2005.02.010
  • Latinovic R, Gulliford MC, Hughes RA. Incidence of common compressive neuropathies in primary care. J Neurol Neurosurg Psychiatry. 2006;77(2):263‑265. https://doi.org/10.1136/jnnp.2005.066696
  • Konstantinou K, Dunn KM. Sciatica: review of epidemiological studies and prevalence estimates. Spine (Phila Pa 1976). 2008;33(22):2464‑2472. https://doi.org/10.1097/BRS.0b013e318183a4a2
  • Левин О.С. Полиневропатии. Клиническое руководство. М.: Медицинское инфомационное агентство. 2016.

Levin OS. Polinevropatii. Klinicheskoe rukovodstvo. M.: Medicinskoe in‑fomacionnoe agentstvo. 2016. (In Russ.).

  1. Антипенко Е.А., Седышев Д.В. Болевые полиневропатии. РМЖ. 2017;21:1543‑1547.

Antipenko EA, Sedyshev DV. Painful polyneuropathies. RMJ. 2017;21:1543‑1547. (In Russ.).

  1. Beghi E, Simone P, Apollo F, et al. Polyneuropathy in an adult hospital population. Assessment of the prevalence through a simple screening procedure. Neuroepidemiology. 1988;7(1):23‑28. https://doi.org/10.1159/000110132
  2. Ляшенко Е.А., Левин О.С. Периферические невропатии в пожилом возрасте. Современная терапия в психиатрии и неврологии. 2014;2:37‑44. Liashenko EA, Levin OS. Peripheral neuropathies at advanced age. Sovremennaya terapiya v psikhiatrii i nevrologii. 2014;2:37‑44. (In Russ.).
  3. Franklin GM, Kahn LB, Baxter J, et al. Sensory neuropathy in non‑insulin‑dependent diabetes mellitus. The San Luis Valley Diabetes study. Am J Epidemiol. 1990;131:633‑643. https://doi.org/10.1093/oxfordjournals.aje.a115547
  4. Verghese J, Bieri PL, Gellido C, et al. Peripheral neuropathy in young‑old and old‑old patients. Muscle Nerve. 2001;24(11):1476‑1481. https://doi.org/10.1002/mus.1171
  5. Парфенов В.А., Яхно Н.Н., Давыдов О.С. и др. Дискогенная пояснично‑крестцовая радикулопатия. Рекомендации Российского общества по изучению боли (РОИБ). Неврология, нейропсихиатрия, психосоматика. 2020;12(4):15‑24.

              Parfenov VA, Yakhno NN, Davydov OS, et al. Discogenic lumbosacral radiculopathy. Recommendations of the Russian Association for the Study of Pain (RSSP). Neurology, Neuropsychiatry, Psychosomatics. 2020;12(4):15‑24. (In Russ.). https://doi.org/10.14412/2074‑2711‑2020‑4‑15‑24

  1. Живолупов С.А., Бардаков С.Н., Самарцев И.Н. и др. Роль антихолинэстеразных средств в оптимизации лечения цереброваскулярных заболеваний (теоретические предпосылки и клиническая фе‑ номенология). Журнал неврологии и психиатрии им. С.С. Корсакова. 2014;114(8‑2):57‑64.

              Zhivolupov SA, Bardakov SN, Samartsev IN, et al. The role of cholinesterase inhibitors in optimization of brain`s vascular pathology treatment (theoretical basis and clinical phenomenology). Zhurnal Nevrologii i Psikhiatrii im. S.S. Korsakova. 2014;114(8‑2):57‑64. (In Russ.).

  1. Piovesana R, Reid AJ, Tata AM. Emerging Roles of Cholinergic Receptors in Schwann Cell Development and Plasticity. Biomedicines. 2022;11(1):41. https://doi.org/10.3390/biomedicines11010041
  2. Chang EH, Chavan SS, Pavlov VA. Cholinergic Control of Inflammation, Metabolic Dysfunction, and Cognitive Impairment in Obesity‑Associated Disorders: Mechanisms and Novel Therapeutic Opportunities. Front Neurosci. 2019;13:263. https://doi.org/10.3389/fnins.2019.00263
  3. Kume T, Takada‑Takatori Y. Nicotinic acetylcholine receptor signaling: Roles in neuroprotection. In: Akaike A, Shimohama S, Misu Y, eds. Nicotinic Ace tylcholine Receptor Signaling in Neuroprotection. Springer; Singapore: 2018.
  4. Ho TNT, Abraham N, Lewis RJ. Structure‑Function of Neuronal Nicotinic Acetylcholine Receptor Inhibitors Derived From Natural Toxins. Front Neurosci. 2020;14:609005. https://doi.org/10.3389/fnins.2020.609005
  5. Ockenga W, Kühne S, Bocksberger S, et al. Non‑neuronal functions of the m2 muscarinic acetylcholine receptor. Genes (Basel). 2013;4(2):171‑197. https://doi.org/10.3390/genes4020171
  6. Pandey S, Mudgal J. A Review on the Role of Endogenous Neurotroph‑ ins and Schwann Cells in Axonal Regeneration. J Neuroimmune Pharmacol. 2022;17(3‑4):398‑408. https://doi.org/10.1007/s11481‑021‑10034‑3
  • Lee EH, Seo SR. Neuroprotective roles of pituitary adenylate cyclase‑activating polypeptide in neurodegenerative diseases. BMB Rep. 2014;47(7):369‑375. https://doi.org/10.5483/bmbrep.2014.47.7.086
  • Verdiyan EE, Allakhverdiev ES, Maksimov GV. Study of the Peripheral Nerve Fibers Myelin Structure Changes during Activation of Schwann Cell Acetylcholine Receptors. PLoS One. 2016;11(7):e0158083. https://doi.org/10.1371/journal.pone.0158083
  • Salazar Intriago MS, Piovesana R, Matera A, et al. The Mechanisms Mediated by α7 Acetylcholine Nicotinic Receptors May Contribute to Peripheral Nerve Regeneration. Molecules. 2021;26(24):7668. https://doi.org/10.3390/molecules26247668
  • Naser PV, Kuner R. Molecular, Cellular and Circuit Basis of Cholinergic Modulation of Pain. Neuroscience. 2018;387:135‑148. https://doi.org/10.1016/j.neuroscience.2017.08.049
  • Sullere S, A Kunczt A, McGehee DS. A cholinergic circuit that relieves pain despite opioid tolerance. Neuron. 2023;111:1‑21. https://doi.org/10.1016/j.neuron.2023.08.017
  • Pavlov VA, Tracey KJ. Neural circuitry and immunity. Immunol Res. 2015;63(1‑3):38‑57.  https://doi.org/10.1007/s12026‑015‑8718‑1
  •   Domoto R, Sekiguchi F, Tsubota M, et al. Macrophage as a Peripheral Pain Regulator. Cells. 2021;10(8):1881.
https://doi.org/10.3390/cells10081881
  • Живолупов С.А., Дамулин И.В., Самарцев И.Н. и др. Клиническое применение Нейромидина в вопросах и ответах. СПб.: ВМедА; 2014. Zhivolupov SA, Damulin IV, Samartsev IN, et al. Clinical use of Neuromidin in questions and answers. SPb.: VMedA; 2014. (In Russ.).
  • Меркулов Ю.А., Магомедова А.М., Биглова А.Н., и др. Компрессия нервов и чувств: ипидакрин как свет в конце туннеля. Журнал неврологии и психиатрии им. С.С. Корсакова. 2021;121(2):31‑37.

Merkulov YuA, Magomedova AM, Biglova AN, et al. Compression of nerves and senses: ipidacrine as the light at the end of the tunnel. Zhurnal Nevrologii i Psikhiatrii im. S.S. Korsakova. 2021;121(2):31‑37. (In Russ.). https://doi.org/10.17116/jnevro202112102131

  • Авакян Г.Н., Авакян Г.Г. Клинико‑электронейромиографическое исследование эффективности ипидакрина у пациентов с мононевропатиями. Журнал неврологии и психиатрии им. С.С. Корсакова. 2015;115(9):17‑22. Avakian GN, Avakian GG. A clinical‑electroneuromyographic study of the efficacy of ipidacrine in patients with mononeuropathies. Zhurnal Nevrologii i Psikhiatrii im. S.S. Korsakova. 2015;115(9):17‑22. (In Russ.). https://doi.org/10.17116/jnevro20151159117‑22
  • Левин О.С., Матвиевская О.В. Оценка эпидемиологических данных о влиянии терапии препаратом Ипигрикс на двигательные и чувствительные функции у амбулаторных пациентов с заболеваниями периферической нервной системы (результаты наблюдательного исследования «ИМПУЛЬС»). Медицинский алфавит. 2019;1(2):11‑14.

Levin OS, Matvievskaya OV. Evaluation of epidemiological data on effect of therapy with Ipigrix® on motor and sensory functions in ambulatory patients with various diseases ofperipheral nervous system. Medical Alphabet. 2019;1(2):11‑14. (In Russ.).

https://doi.org/10.33667/2078‑5631‑2019‑1‑2(377)‑11‑14
  • Живолупов С.А., Самарцев И.Н. Центральные механизмы терапевтической эффективности нейромидина в лечении травматических поражений периферических нервов. Журнал неврологии и психиатрии им. С.С. Корсакова. 2010;110(3):25‑30.

Zhivolupov SA, Samartsev IN. Central mechanisms of therapeutic effectiveness of neuromidin in the treatment of peripheral nerve lesions. Zhurnal Nevrologii i Psikhiatrii im. S.S. Korsakova. 2010;110(3):25‑30. (In Russ.).

  • Строков И.А., Зиновьева О.Е., Баринов А.Н. и др. Нейромидин в лечении диабетической полиневропатии. Неврол журн. 2007;12(6):52‑55. Strokov IA, Zinovyeva OE, Barinov AN, et al. Neuromidin in the treat‑ ment of diabetic polyneuropathy. Neur Journal. 2007;12(6):52‑55. (In Russ.).
  • Ромейко Д.И., Билодид И.К., Пукита И.С. и др. Эффективность применения Нейромидина в терапии диабетической дистальной полинейропатии. Медицинские новости. 2009;6:82‑85.

Romeiko DI, Bilodid IK, Pukita IS, et al. The effectiveness of Neuromidin in the treatment of diabetic distal polyneuropathy. Meditsinskiye Novosti. 2009;6:82‑85. (In Russ.).

  • Живолупов С.А., Воробьева М.Н., Самарцев И.Н. и др. Инновации в дифференциальной диагностике и мониторинге терапии пояснично‑крестцовых радикулопатий. Журнал неврологии и психиатрии им. С.С. Корсакова. 2014;114(8):25‑31.

Zhivolupov SA, Vorob’eva MN, Samartsev IN, et al. Innovation in differential diagnosis and monitoring of rational therapy in patients with lumbo‑ sacral radiculopathies. Zhurnal Nevrologii i Psikhiatrii im. S.S. Korsakova. 2014;114(8):25‑31. (In Russ.).

  • Бойко А.Н., Батышева Т.Т., Зайцев К.А. и др. Применение препарата аксамон в комплексной реабилитации больных с двигательными нарушениями при патологии поясничного отдела позвоночника. Журнал неврологии и психиатрии им. С.С. Корсакова. 2008;108(9):45‑47. Boyko AN, Batysheva TT, Zaitsev KA, et al. Primenenie preparata aksamon v kompleksnoj reabilitatsii bol’nykh s dvigatel’nymi narusheniyami pri pa‑ tologii poyasnichnogo otdela pozvonochnika. Zhurnal Nevrologii i Psikhiat- rii im. S.S. Korsakova. 2008;108(9):45‑47. (In Russ.).
  • Дзяк Л.А., Зорин Н.А., Кириченко А.Г. и др. Результаты комплексного лечения больных с радикулопатией и радикулоишемией, обусловленными патологией межпозвонковых дисков поясничного отдела позвоночника, с включением препарата нейромидин. Украинский нейро- хирургический журнал. 2004;4:98‑101.

Dzyak LA, Zorin NA, Kirichenko AG, et al. Results of complex treatment of patients with radiculopathy and radiculoischemia caused by pathology of the intervertebral discs of the lumbar spine, including the drug neuromidin. Ukrainian Neurosurgical Journal. 2004;4:98‑101. (In Russ.).

Daxil olma tarixi:    30.01.2024

Çap üçün  qəbul olunma tarixi:  02.02.2024